任务描述
本关任务:利用模拟退火算法解决 TSP 问题。 TSP 问题是在给定的一些城市和这些城市之间的距离中,找出访问每一座城市一次并最终回到起始城市的最短回路。
相关知识
为了完成本关任务,你需要掌握模拟退火算法。
退火
在冶金学中,金属通常要进行原子重排,这是在退火过程中实现的。金属中的原子按照局部能量最小化进行排列。为了以较低的能量重新排列这些原子,首先需将金属加热,直到液化,然后将熔融的金属缓慢冷却,直到凝固。退火后的金属表现出许多人们期望的性能,例如它的韧性和硬度都得到了提升。

图1 金属退火过程
模拟退火
如图 2 所示:假设这是一个求最小值的函数图像,如果采用贪心策略,那么从 A 点开始试探,如果函数值继续减少,那么试探过程就会继续。而当到达点 B 时,显然我们的探求过程就结束了(因为无论朝哪个方向努力,结果只会越来越大)。最终我们只能找到一个局部最优解 B 。

图2 求最小值的函数图像
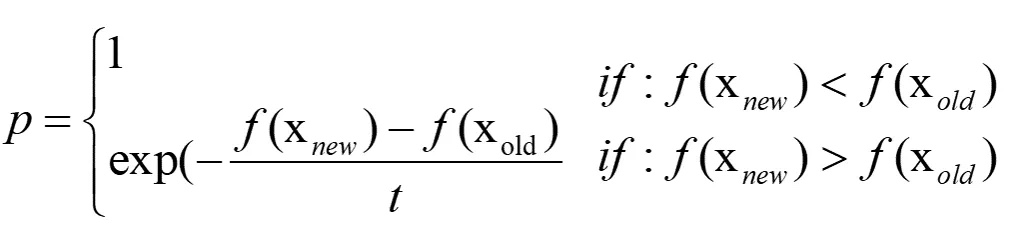
模拟退火算法——概率取值
刚刚我们说了,模拟退火算法是以一定的概率来接受比当前解要差的值,那么这个概率是多少呢?由于我们之前说的模拟退火算法是源自于金属退火的原理,所以这个概率的计算也是来源于它。根据 Metropolis 准则,粒子在温度 T 时,趋于平衡的概率为 exp(−ΔE/(kT)),其中 E 为温度 T 时的内能,ΔE 为其改变数,k 为 Boltzmann 常数。Metropolis 准则常表示为:

那么 Metropolis 准则可以转化如下:

模拟退火算法步骤

伪代码如下:
/*
* J(y):在状态y时的评价函数值
* Y(i):表示当前状态
* Y(i+1):表示新的状态
* r: 用于控制降温的快慢
* T: 系统的温度,系统初始应该要处于一个高温的状态
* T_min :温度的下限,若温度T达到T_min,则停止搜索
*/
while( T > T_min )
{
dE = J( Y(i+1) ) - J( Y(i) ) ;
if ( dE >=0 ) //表达移动后得到更优解,则总是接受移动
Y(i+1) = Y(i) ; //接受从Y(i)到Y(i+1)的移动
else
{
// 函数exp( dE/T )的取值范围是(0,1) ,dE/T越大,则exp( dE/T )也
if ( exp( -dE/T ) > random( 0 , 1 ) )
Y(i+1) = Y(i) ; //接受从Y(i)到Y(i+1)的移动
}
T = r * T ; //降温退火 ,0<r<1 。r越大,降温越慢;r越小,降温越快
/*
* 若r过大,则搜索到全局最优解的可能会较高,但搜索的过程也就较长。若r过小,则搜索的过程会很快,但最终可能会达到一个局部最优值
*/
i ++ ;
}
编程要求
根据提示,本关的编程任务是补全右侧编辑器 Begin 至 End 中间的代码,saa()函数的任务是利用模拟退火算法求出 TSP 问题的最短路径。
注意:saa()函数返回三个参数,分别为 ans 、 result 、 cnt,其中 ans 为最短路径,result 为路径长度,cnt 为降温次数( TSP 各城市的距离在代码中已给出)。
测试说明
平台将自动编译补全后的代码,并生成若干组测试数据,接着根据程序的输出判断程序是否正确,其中路径长度只需低于 50000 并且降温次数为 1448 即可通过实训。
以下是平台的测试样例:
预期输出1:
路径如下:[14, 13, 19, 18, 15, 12, 9, 28, 7, 17, 27, 11, 26, 20, 6,
16, 30, 2, 21, 25, 22, 8, 0, 10, 29, 4, 5, 23, 3, 1, 24]
路径长度:46860.89447968355
降温次数:1448
路径长度符合要求预期输出2:
路径如下:[6, 27, 29, 17, 3, 4, 24, 14, 15, 18, 30, 11, 12, 7, 9,
2, 19, 21, 25, 22, 28, 23, 26, 8, 16, 10, 5, 1, 0, 13, 20]
路径长度:44583.241163416074
降温次数:1448
路径长度符合要求参考资料
1.模拟退火算法实例
2.大白话解析模拟退火算法
3.模拟退火算法
代码文件
student.py
import math
import time
import random
# 初始温度
T = 50000
# 最低温度
T_end = 1e-8
# 在每个温度下的迭代次数
L = 100
# 退火系数
delta = 0.98
# 31个城市的坐标
citys = [[1304, 2312], [3639, 1315], [4177, 2244], [3712, 1399], [3488, 1535], [3326, 1556], [3238, 1229], [4196, 1004],
[4312, 790], [4386, 570], [3007, 1970], [2562, 1756], [2788, 1491], [2381, 1676], [1332, 695], [3715, 1678],
[3918, 2179], [4061, 2370], [3780, 2212], [3676, 2578], [4029, 2838], [4263, 2931], [3429, 1908], [3507, 2367],
[3394, 2643], [3439, 3201], [2935, 3240], [3140, 3550], [2545, 2357], [2778, 2826], [2370, 2975]]
# 存储两个城市之间的距离
d = [[0 for i in range(31)] for j in range(31)]
# 存储一条路径
ans = []
# 计算降温次数
cnt = 0
# 计算两个城市之间的距离
def get_city_distance():
for i in range(len(citys)):
for j in range(i, len(citys)):
d[i][j] = d[j][i] = math.sqrt((citys[i][0] - citys[j][0]) ** 2 + (citys[i][1] - citys[j][1]) ** 2)
# 使用随机交换路径中两个城市的位置来产生一条新路径
def create_new(a):
#a=list(range(len(a)))
i = random.randint(0, len(a) - 1)
j = random.randint(0, len(a) - 1)
a = list(a)
a[i], a[j] = a[j], a[i]
return a
# 获取路径的长度
def get_route_distance(a):
dist = 0
for i in range(len(a) - 1):
dist += d[a[i]][a[i + 1]]
return dist
#模拟退火
def saa():
# ********** Begin **********#
# ********** End **********#
#函数返回三个参数
#ans:路径,例如:[14, 13, 19, 18, 15, 12, 9, 28, 7, 17, 27, 11, 26, 20, 6, 16, 30, 2, 21, 25, 22, 8, 0, 10, 29, 4, 5, 23, 3, 1, 24]
#result:路径长度
#cnt:降温次数
#路径长度在50000以内即可,降温次数最终返回值应为1448
return ans,result,cnt
main.py
from student import *
print("路径如下:"+str(saa()[0]))
print("路径长度:"+str(saa()[1]))
print("降温次数:"+str(saa()[2]))
if (saa()[2]==1448) and (saa()[1]<50000):
print("路径长度符合要求")
else:
print("路径长度太长")